دروهبرقی(Electric Circuit) در واقع مسیری است که اجازه میدهد جریان برق از یک منبع تولید(مثل باطری) به یک مصرفکننده (مثل لامپ) برسد و دوباره به منبع برقی بازگردد.
یک دوره برقی بر اساس نوع ترتیب مقاومتها در آن به دو بخش مسلسل (Series Circuit) و موازی (Parallel Circuit) تقسیم می شود.
دوره برقی مسلسل(Series Circuit)
این دوره برقی شامل خصوصیات ذیل می باشد:
1) مسیر واحد برای جریان
در دوره برقی مسلسل، تنها یک مسیر برای عبور الکترونها وجود دارد.
به همین دلیل:
… Itotal = I1 = I2 = I3
2) تقسیم ولتاژ
برخلاف جریان که ثابت است، ولتاژ کل منبع بین قطعات تقسیم میشود:
…+Vtotal = V1+V2+V3
3) افزایش مقاومت کل
هر چه تعداد قطعات (مصرفکنندهها) را در یک مدار مسلسل بیشتر کنید، مقاومت کل مدار افزایش مییابد:
…+Rtotal=R1+R2+R3
4) کنترول با یک سویچ
در این مدار، تنها با یک کلید میتوان کل سیستم را کنترل کرد. چون همه قطعات در یک مسیر هستند، باز کردن سویج باعث قطع شدن کل «دوره برقی» میشود.
شکل ذیل نشان دهنده یک دوره برقی مسلسل می باشد.
طبق قانون اوم V=I x R میتوان با داشتن مقاومت برقی یک دوره، جریان و یا ولتاژ برقی درآن دوره را محاسبه کرد.
در این ویدیو به تشریح عملی تشکیل یک دوره برقی مسلسل پرداخته شده است.
دوره برقی موازی (Parallel Circuit)
این نوع دروه برقی دارای خصوصیات ذیل می باشد:
1. مسیرهای متعدد برای جریان
برخلاف مدار مسلسل، در اینجا جریان وقتی به یک گره (محل اتصال) میرسد، تقسیم میشود.
شدت جریان کل: مجموع جریانهایی است که از هر شاخه عبور میکند.
…+Itotal=I1+I2+I3
اگر یکی از شاخهها قطع شود(مثلاً یک لامپ بسوزد)، جریان در بقیه شاخهها همچنان برقرار است و بقیه وسایل به کار خود ادامه میدهند.
2. ولتاژ یکسان برای همه قطعات، این مهمترین ویژگی مدار موازی است
ولتاژ (V)در تمام شاخهها برابر است و با ولتاژ منبع تغذیه (باطری یا برق شهر) یکی است.
…=Vtotal=V1=V2=V3
به همین دلیل است که تمام وسایل برقی در خانه شما (یخچال، تلویزیون و گروپ ها) برای کار با ولتاژ 220 ولت طراحی شدهاند.
3. کاهش مقاومت کل
یک نکته جالب و شاید عجیب این است که هرچه قطعات بیشتری را به صورت موازی اضافه کنید، مقاومت کل مدار کمتر میشود. چون مسیرهای بیشتری برای عبور جریان ایجاد کردهاید (مثل اینکه به یک بزرگراه، باندهای جدیدی اضافه کنید که ترافیک را کم میکند).
هرگاه مقاومت های برقی بصورت موازی قراربیگیرند. مقاومت مجموعی مساوی به مجموع مقاومت های معکوس میشود.
در دوره برقی موازی، شما میتوانید برای هر وسیله یک سویچ جداگانه داشته باشید. خاموش کردن یک وسیله هیچ تأثیری بر عملکرد بقیه وسایل موجود در مدار ندارد.
شکل ذیل نشان دهنده یک دوره برقی موازی می باشد.
در این نوع دوره برقی نیز طبق قانون اوم V = I x R میتوان با داشتن مقاومت برقی یک دوره، جریان و یا ولتاژ برقی درآن دوره را محاسبه کرد.
مثال1: برای یک دوره برقی با ولتاژ 12V و مقاومت 6Ω شدت جریان را محاسبه کنید.
حل: شدت جریان 2 امپیر از دوره برقی میگذرد.
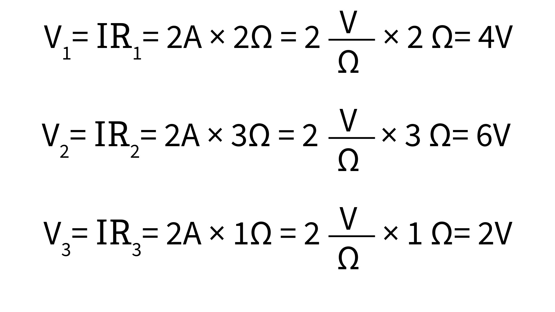
مثال2: با درنظرداشت دوره برقی داده شده، مقاومت معادل، جریان کلی و ولتاژ را محاسبه نمایید.
حل: با استفاده از قیمت های داده شده در شکل، قرارذیل محاسبات را انجام می دهیم:
جریان کل:
مصرف ولتاژ در هر مقاومت:
Vtotal = 4V + 6V + 2V = 12V
مجموع ولتاژ مساوی به 12V میباشد.
با در نظرداشت مقاومت و ولتاژ برای هر قطعه، توان هر قطعه (مقاومت) را قرار ذیل می توان محاسبه کرد:
در این ویدیو به تشریح عملی تشکلیل دوره برقی موازی پرداخته شده است.