کثافت د موادو د پیژندنې لپاره یوه مهمه ځانګړتیاو څخه یو دی، د موادو د جوړوونکو ذراتو د متراکم والي له کچې سره اړیکه لري.
په هره اندازه چې د موادو جوړونکي ذرات متراکمه وي هغه شې ډیر کثافت لري او دروند وي, او ډیره کتله او وزن لري،
او په هره اندازه چې جوړونکي ذرات کم وي او یو د بل څخه واټن ولري هغه شې کم کثافت لري، سپک وي او کتله او وزن یې کم وي.
د مثال په توګه:
هر کله دا درې لاندنۍ مادې لرګې، اوسپنه او سرب یو د بل سره پرتله کړوپه لاندني ډول راځي:
سرب< اوسپنه< لرګې
په سرب کې د هغې اټومونه ډیر متراکمه دي، په اوسپنه کې یو څه لږ او په لرګي کې د هغه جوړونکي ذرات دوه یادې شوو مادو څخه ډیر لږ دي.
نو د یوې مادې د جوړونکو ذراتو د تراکم اندازې ته کثافت ویل کیږي.
د موادو د کثافت د محاسبه لپاره، د یو جسم کتله د هغه په واحد حجم کې اخیستل کیږي، له دې امله ویلی شو: کثافت په نسبت د کتلې د موادو هر واحد د حجم دی.
د کثافت د محاسبه لپاره ریاضیکي رابطه په لاندې ډول ده:
ρ = m/v یا D = m/v
په ورکړل شوو رابطو کې D کثافت (Density)، m کتله (mass)، vحجم (Volume) او ρ (Rho) هم کثافت ښایي.
نړیوال واحد د کتلې د اندازه کولو لياره kg/m3 دې او ځیني نور معموله واحدات د کثافت د اندازه کولو لپاره دي:
Kg/L g/L g/cm3 mg/L g/ml mg/ml
یوه له هغو مواردو څخه چې کثافت یې مهم ګرځوي، د مختلفو موادو په توصیف کې د هغې استفاده ده چې د دوه اجسامو کتله د مساوي حجمونو سره مقایسه کوي.
د مثال په توګه ؛ آیا د یو لیټر سیماب حجم د یو لیټر اوبو د کتلې سره به مساوي وي؟
ځواب په قطعی ډول نه دې، ځکه چې یو لیټر سیماب 13,5کیلوګرام کتله او یو لیټر خالصه اوبه 1 کیلوګرامه کتله د کوټې د تاودښت سره برابره لري، نو ویلې شو چې سیماب 13,53kg/L کثافت لري او خالصه اوبه 1kg/L کثافت لري.
په پایله کې د شي کثافت د هغې د جوړونکو ذراتو د تراکم یا غلظت پورې اړه لري، په ورکړل شوي مثال کې په ښکاره ډول پوهیږو چې د سیماب اټومونه په یو ډیر متراکمه حالت کې دي حال دا چې د اوبو مالیکولونه د سیماب په اندازه سره متراکمه نه دي.
د موادو د کثافت په جامد او مایع حالت کې عملي اندازه کولو د څرنګوالي لپاره د لاندنۍ ویډیوګانو وګورئ:
لومړۍ ویډیو: د جامده موادو د منظمه هندسي ابعادو سره اندازه کول.
دوهمه ویډیو: د جامداتو د کثافت اندازه کول چې منظمه هندسي بعدونه نلري.
دریمه ویډیو: د مایعاتو د کثافت اندازه کول.
مثالونه:

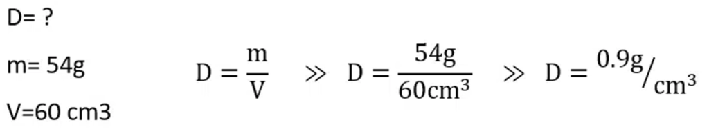
حل: دکثافت د پیدا کولو لپاره لومړۍ دې ته اړتیا ده چې ورکړل شوي بعدونه په پام کې لرلو سره د لرګي حجم محاسبه کړو ، او د حجم د پیدا کولو لپاره د لرګي اوږدوالې، عرض، او ضخامت یو د بل سره ضرب کړو.
ډبلوالی x اوږدوالې x پلنوالی = حجم
V = 3 cm x 5cm x 4cm
V = 60 cm3
اوس کثافت محاسبه کوو